بلاگ
لول ترانسمیتر دیسپلیسری
لول ترانسمیتر دیسپلیسری
ابزار دقیق جابجایی و سطح جابجاگر
ابزارهای سطح جابجاگر از اصل ارشمیدس برای تشخیص سطح مایع با اندازهگیری مداوم وزن یک جسم (به نام جابجاگر) غوطهور در مایع فرآیند استفاده میکنند. با افزایش سطح مایع، جابجاگر نیروی شناوری بیشتری را تجربه میکند و باعث میشود که برای ابزار حسگر سبکتر به نظر برسد، که کاهش وزن را به عنوان افزایش سطح تفسیر کرده و سیگنال خروجی متناسبی را ارسال میکند.
ابزارهای نیروی شناوری دیسپلیسر
در عمل، یک ابزار سطح جابجاگر معمولاً به شکل زیر است. لولهکشی فرآیند به داخل و خارج از مخزن برای سادگی حذف شده است – فقط مخزن و ابزار سطح جابجاگر آن نشان داده شده است:
خود جابجاگر معمولاً یک لوله فلزی آببندی شده است که به اندازه کافی وزن دارد تا نتواند در مایع فرآیند شناور شود. این وسیله درون لولهای به نام “قفس” که از طریق دو شیر بلوکی و نازل به مخزن فرآیند متصل است، آویزان است. این دو اتصال لوله تضمین میکنند که سطح مایع درون قفس با سطح مایع درون مخزن فرآیند مطابقت داشته باشد، دقیقاً مانند یک آینه دید.
اگر سطح مایع درون مخزن فرآیند افزایش یابد، سطح مایع درون قفس نیز برای مطابقت افزایش مییابد. این باعث میشود حجم بیشتری از جابهجاکننده در آب فرو برود و نیروی شناوری به سمت بالا به جابهجاکننده وارد شود. به یاد داشته باشید که جابهجاکننده برای شناور شدن خیلی سنگین است، بنابراین روی سطح مایع “تکان نمیخورد” و به همان اندازه سطح مایع بالا نمیآید – بلکه در داخل قفس آویزان میماند و با افزایش نیروی شناوری “سبکتر” میشود. مکانیسم حسگر وزن، این نیروی شناوری را هنگامی که جابهجاکننده سبکتر میشود، تشخیص میدهد و کاهش وزن (ظاهری) را به عنوان افزایش سطح مایع تفسیر میکند. وزن ظاهری جابهجاکننده زمانی به حداقل میرسد که کاملاً در آب فرو رفته باشد، زمانی که مایع فرآیند به نقطه ۱۰۰٪ درون قفس رسیده باشد.
لازم به ذکر است که فشار استاتیک داخل مخزن تأثیر ناچیزی بر دقت ابزار جابهجاکننده خواهد داشت. تنها عاملی که مهم است چگالی سیال فرآیند است، زیرا نیروی شناوری مستقیماً با چگالی سیال متناسب است:![]()
عکس زیر یک فرستنده پنوماتیک مدل «Level-Trol» فیشر را نشان میدهد که سطح میعانات را در یک درام تخلیه برای سرویس گاز طبیعی اندازهگیری میکند. خود دستگاه در سمت راست عکس ظاهر میشود و بالای آن یک «سر» خاکستری رنگ با دو فشارسنج پنوماتیکی قابل مشاهده قرار دارد. «قفس» جابهجاکننده، لوله عمودی بلافاصله پشت و زیر واحد سر است. توجه داشته باشید که یک سطحسنج شیشهای در سمت چپ محفظه تخلیه (یا بوت میعانات) برای نمایش بصری سطح میعانات درون مخزن فرآیند ظاهر میشود:
هدف از این دستگاه جابهجاکننده خاص، اندازهگیری مقدار مایع میعانات جمعآوریشده در داخل «بوت» است. این مدل از فیشر لول-ترول با یک مکانیزم کنترل پنوماتیکی ارائه میشود که سیگنال فشار هوا را به یک شیر تخلیه ارسال میکند تا میعانات بهطور خودکار از بوت تخلیه شوند.
دو عکس از یک دستگاه جابجایی سطح کنترل کننده سطح (Level-Trol displacer) که به صورت جدا شده در اینجا نمایش داده شده است، نحوه قرارگیری جابجایی کننده در داخل لوله قفس را نشان میدهد:
لوله قفس از طریق دو شیر مسدود کننده به مخزن فرآیند متصل شده است که امکان جداسازی از فرآیند را فراهم میکند. یک شیر تخلیه اجازه میدهد تا مخزن از مایع فرآیند برای سرویس دستگاه و کالیبراسیون صفر خالی شود.
برخی از سنسورهای سطح از نوع جابجایی کننده از قفس استفاده نمیکنند، بلکه عنصر جابجایی کننده را مستقیماً در مخزن فرآیند آویزان میکنند. به این سنسورها، سنسورهای “بدون قفس” میگویند. ابزارهای بدون قفس البته سادهتر از ابزارهای قفس مانند هستند، اما بدون کاهش فشار (و شاید حتی تخلیه) مخزن فرآیندی که در آن قرار دارند، قابل سرویس نیستند. آنها همچنین در صورت تحریک مایع داخل مخزن، چه با سرعت بالای جریان به داخل و خارج از مخزن، یا با عملکرد پروانههای چرخان موتوری که در مخزن نصب شدهاند تا اختلاط کامل مایع(های) فرآیند را فراهم کنند، مستعد خطاهای اندازهگیری و “سر و صدا” هستند.
کالیبراسیون کامل دامنه ممکن است با پر کردن قفس با مایع فرآیند (کالیبراسیون مرطوب) یا با معلق کردن جابجاکننده با یک نخ و ترازوی دقیق (کالیبراسیون خشک) و کشیدن جابجاکننده به سمت بالا در مقدار مناسب برای شبیهسازی شناوری در سطح ۱۰۰٪ مایع انجام شود:
محاسبه این نیروی شناوری کار سادهای است. طبق اصل ارشمیدس، نیروی شناوری همیشه برابر با وزن حجم سیال جابجا شده است. در مورد یک ابزار سطح مبتنی بر جابجاکننده در دامنه کامل، این معمولاً به این معنی است که کل حجم عنصر جابجاکننده در مایع غوطهور است. به سادگی حجم جابجاکننده را محاسبه کنید (اگر استوانه باشد،
، که در آن شعاع استوانه و طول استوانه است و آن حجم را در چگالی وزنی ضرب کنید:
به عنوان مثال، اگر چگالی وزنی سیال فرآیند ۵۷.۳ پوند بر فوت مکعب باشد و جابجاکننده استوانهای به قطر ۳ اینچ و طول ۲۴ اینچ باشد، نیروی لازم برای شبیهسازی شرایط شناوری در سطح کامل را میتوان به صورت زیر محاسبه کرد:
توجه داشته باشید که حفظ ثبات واحدها چقدر مهم است! چگالی مایع بر حسب پوند بر فوت مکعب و ابعاد جابجاگر بر حسب اینچ داده شده است، که بدون تبدیل بین فوت و اینچ، مشکلات جدی ایجاد میکرد. در کار نمونه من، تصمیم گرفتم چگالی را به واحد پوند بر اینچ مکعب تبدیل کنم، اما میتوانستم به راحتی ابعاد جابجاگر را به فوت تبدیل کنم تا به حجم جابجاگر بر حسب فوت مکعب برسم.
در کالیبراسیون “مرطوب”، نیروی شناوری 5.63 پوندی توسط خود مایع ایجاد میشود، تکنسین اطمینان حاصل میکند که مایع کافی در داخل محفظه برای شبیهسازی شرایط سطح 100٪ وجود دارد. در کالیبراسیون “خشک”، نیروی شناوری با اعمال کشش به سمت بالا بر روی جابجاگر با یک ترازوی دستی و نخ شبیهسازی میشود، تکنسین با نیروی رو به بالای 5.63 پوندی آن را میکشد تا دستگاه “فکر کند” سطح مایع 100٪ را حس میکند، در حالی که در واقع جابجاگر کاملاً خشک و در هوا معلق است.
لولههای گشتاور
یک مشکل طراحی جالب برای فرستندههای سطح از نوع جابجایی، نحوه انتقال وزن حسشدهی جابجاگر به مکانیزم فرستنده در عین آببندی مثبت فشار بخار فرآیند از همان مکانیزم است. رایجترین راه حل برای این مشکل، مکانیزم هوشمندانهای به نام لوله گشتاور است. متأسفانه، درک لولههای گشتاور میتواند نسبتاً دشوار باشد، مگر اینکه دسترسی مستقیم و عملی به آن داشته باشید، بنابراین این بخش این مفهوم را با جزئیات بیشتری نسبت به آنچه معمولاً در کتابچههای مرجع موجود است، بررسی خواهد کرد.
یک میله فلزی جامد، افقی و محکم را با یک فلنج در یک انتها و یک اهرم عمود در انتهای دیگر تصور کنید. فلنج به یک سطح ثابت نصب شده است و یک وزنه از انتهای اهرم آویزان است. یک دایره خط چین نشان میدهد که میله در کجا به مرکز فلنج جوش داده شده است:
نیروی رو به پایین وزنه که بر روی اهرم عمل میکند، یک نیروی پیچشی (گشتاور) به میله وارد میکند و باعث میشود که در طول آن کمی بچرخد. هرچه وزن بیشتری در انتهای اهرم آویزان باشد، میله بیشتر میچرخد. تا زمانی که گشتاور اعمال شده توسط وزنه و اهرم هرگز از حد الاستیک میله تجاوز نکند، میله همچنان به عنوان فنر عمل خواهد کرد. اگر «ثابت فنر» میله را بدانیم و انحراف پیچشی آن را اندازهگیری کنیم، در واقع میتوانیم از این حرکت جزئی برای اندازهگیری بزرگی وزنه آویزان شده در انتهای اهرم استفاده کنیم.
با استفاده از یک ابزار تراز از نوع جابجایی، یک جابجایی جایگزین وزنه در انتهای اهرم میشود و انحراف پیچشی این میله نیروی شناوری را نشان میدهد. با بالا آمدن مایع، نیروی شناوری روی جابجایی افزایش مییابد و باعث میشود جابجایی از دید میله سبکتر به نظر برسد. حرکت جزئی میله ناشی از این تغییر وزن ظاهری، سطح مایع را نشان میدهد.
حال تصور کنید که یک سوراخ طولانی از طریق میله، به صورت طولی، حفر میکنید که تقریباً به انتهایی که اهرم متصل است، میرسد. به عبارت دیگر، یک سوراخ کور را در مرکز میله تصور کنید که از لبه شروع میشود و کمی پایینتر از اهرم پایان مییابد:
وجود این سوراخ بلند تغییر زیادی در رفتار مجموعه ایجاد نمیکند، مگر شاید تغییر در ثابت فنر میله. با فلز کمتر جامد، میله فنر ضعیفتری خواهد بود و با اعمال وزن در انتهای اهرم، بیشتر میپیچد. با این حال، برای هدف این بحث، سوراخ بلند میله را به لولهای با انتهای آببندی شده تبدیل میکند. به جای اینکه میله یک “میله پیچشی” باشد، اکنون میله به طور صحیحتر لوله گشتاور نامیده میشود که با اعمال وزن در انتهای اهرم، کمی میپیچد.
برای اینکه لوله گشتاور به صورت عمودی پشتیبانی شود تا با اعمال وزن به سمت پایین خم نشود، اغلب یک یاتاقان لبه چاقویی پشتیبان در زیر انتهای اهرم، جایی که به لوله گشتاور متصل میشود، قرار میگیرد. هدف از این تکیهگاه، فراهم کردن تکیهگاه عمودی برای وزنه و در عین حال تشکیل یک نقطه محوری تقریباً بدون اصطکاک است، به طوری که تنها تنش اعمال شده به لوله گشتاور، گشتاور اهرم باشد:
در نهایت، میله فلزی محکم دیگری (با قطر کمی کوچکتر از سوراخ) را تصور کنید که به انتهای سوراخ کور جوش داده شده و از انتهای فلنج امتداد یافته است:
هدف از این میله با قطر کوچکتر، انتقال حرکت چرخشی انتهای لوله گشتاور به نقطهای فراتر از فلنج است که بتوان آن را حس کرد. فلنج را تصور کنید که به یک دیوار عمودی متصل شده است، در حالی که یک وزنه متغیر در انتهای اهرم به سمت پایین کشیده میشود. لوله گشتاور با نیروی متغیر در یک حرکت چرخشی خم میشود، اما اکنون میتوانیم با تماشای چرخش میله کوچکتر در سمت نزدیک دیوار، میزان چرخش آن را ببینیم. وزنه و اهرم ممکن است کاملاً توسط این دیوار از دید ما پنهان باشند، اما حرکت چرخشی میله کوچک با این وجود نشان میدهد که لوله گشتاور چقدر در برابر نیروی وزن تسلیم میشود.
ما میتوانیم این مکانیزم لوله گشتاور را برای اندازهگیری سطح مایع در یک محفظه تحت فشار به کار ببریم.
با جایگزینی وزنه با یک جابجاگر، اتصال فلنج به نازل جوش داده شده به مخزن و تنظیم یک دستگاه حسگر حرکت با انتهای میله کوچک برای اندازهگیری چرخش آن، مخزن را بزرگ کردند. با بالا و پایین رفتن سطح مایع، وزن ظاهری جابجاگر تغییر میکند و باعث میشود لوله گشتاور کمی بچرخد. این حرکت چرخشی جزئی سپس در انتهای میله کوچک، در محیطی جدا از فشار سیال فرآیند، حس میشود.
عکسی که از یک لوله گشتاور واقعی از یک فرستنده سطح “Level-Trol” فیشر گرفته شده است، ظاهر خارجی آن را نشان میدهد:
فلز تیره رنگ، فولاد الاستیک است که برای معلق نگه داشتن وزنه با عمل به عنوان فنر پیچشی استفاده میشود، در حالی که قسمت براق، میله داخلی است که برای انتقال حرکت استفاده میشود. همانطور که میبینید، خود لوله گشتاور قطر خیلی پهنی ندارد. اگر اینطور بود، فنر آن برای استفاده عملی در یک ابزار سطح از نوع جابجاگر، بسیار سفت میشد، زیرا جابجاگر معمولاً خیلی سنگین نیست و اهرم آن بلند نیست.
با نگاهی دقیقتر به هر انتهای لوله گشتاور، انتهای باز آن که میله با قطر کوچک از آن بیرون زده است (چپ) و انتهای «کور» لوله که به اهرم متصل است (راست) را نشان میدهد:
اگر مجموعه لوله گشتاور را از طول به دو نیم تقسیم کنیم، سطح مقطع آن چیزی شبیه به این خواهد بود:
تصویر بعدی، لوله گشتاور را به عنوان بخشی از یک فرستنده سطح جابجایی کامل نشان میدهد:
همانطور که از این تصویر میبینید، لوله گشتاور هنگام استفاده در یک کاربرد اندازهگیری سطح از نوع جابجایی، سه هدف متمایز را دنبال میکند: (1) به عنوان یک فنر پیچشی که وزن جابجایی را معلق نگه میدارد، (2) برای آببندی فشار سیال فرآیند از مکانیسم حسگر موقعیت، و (3) برای انتقال حرکت از انتهای دور لوله گشتاور به مکانیسم حسگر.
در فرستندههای سطح پنوماتیکی، مکانیسم حسگری که برای تبدیل حرکت پیچشی لوله گشتاور به یک سیگنال پنوماتیکی (فشار هوا) استفاده میشود، معمولاً از نوع طراحی تعادل حرکتی است. برای مثال، مکانیزم کنترل سطح فیشر، از یک لوله بوردون C شکل با یک نازل در انتها استفاده میکند تا از یک بافل متصل به میله کوچک پیروی کند. مرکز لوله بوردون با مرکز لوله گشتاور همسو است. با چرخش میله، بافل به سمت نازل در نوک لوله بوردون پیش میرود و باعث افزایش فشار برگشتی میشود که به نوبه خود باعث خم شدن لوله بوردون میشود. این خم شدن، نازل را از بافل پیشرو دور میکند تا زمانی که یک وضعیت متعادل ایجاد شود. بنابراین حرکت میله با حرکت لوله بوردون متعادل میشود و این سیستم پنوماتیکی را به یک سیستم تعادل حرکتی تبدیل میکند:
اندازهگیری سطح رابط جابجایی
ابزارهای سطح جابجایی ممکن است برای اندازهگیری سطوح مایع-مایع درست مانند ابزارهای فشار هیدرواستاتیک استفاده شوند. یک الزام مهم این است که جابجایی همیشه کاملاً غوطهور باشد (“غرق”). اگر این قانون نقض شود، دستگاه قادر به تشخیص بین سطح مایع (کل) پایین و سطح رابط پایین نخواهد بود. این معیار مشابه استفاده از ابزارهای فشار دیفرانسیلی با پایه جبرانی برای اندازهگیری سطح تماس مایع-مایع است: برای اینکه ابزار صرفاً به تغییرات سطح تماس پاسخ دهد و با تغییرات سطح کل مایع «فریب» نخورد، هر دو نقطه اتصال فرآیند باید غوطهور باشند.
اگر ابزار جابجایی «قفس» مخصوص به خود را دارد، مهم است که هر دو لولهای که قفس را به مخزن فرآیند (که گاهی «نازل» نامیده میشود) متصل میکنند، غوطهور باشند. این امر تضمین میکند که سطح تماس مایع درون قفس با سطح تماس داخل مخزن مطابقت داشته باشد. اگر نازل بالایی خشک شود، همان مشکلی که برای یک ابزار جابجایی قفسدار پیش میآید، میتواند برای یک سطحسنج «شیشه دید» نیز رخ دهد (برای توضیح دقیق این مشکل به بخش [interface_trouble] که در ابتدای صفحه آمده است مراجعه کنید).
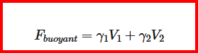
محاسبه نیروی شناوری روی یک عنصر جابجایی به دلیل ترکیبی از دو مایع، آنقدرها که به نظر میرسد دشوار نیست. اصل ارشمیدس همچنان پابرجاست: نیروی شناوری برابر با وزن سیال (سیال) جابجا شده است. تنها کاری که باید انجام دهیم محاسبه وزن و حجم ترکیبی مایعات جابجا شده برای محاسبه نیروی شناوری است. برای یک مایع واحد، نیروی شناوری برابر با چگالی وزن آن مایع (
) ضربدر حجم جابجا شده (
) است:
برای یک سطح مشترک دو مایع، نیروی شناوری برابر با مجموع دو وزن مایع جابجا شده است، هر عبارت وزن مایع برابر با چگالی وزن آن مایع ضربدر حجم جابجا شده آن مایع است:
با فرض یک جابجا کننده با سطح مقطع ثابت در طول آن، حجم جابجایی هر مایع به سادگی برابر با همان مساحت (
) ضربدر طول جابجا کننده غوطه ور در آن مایع است:
از آنجایی که مساحت (
) در هر دو عبارت شناوری در این معادله مشترک است، میتوانیم برای سادگی آن را حذف کنیم:
تعیین نقاط کالیبراسیون یک ابزار سطح سنج از نوع جابجا کننده برای کاربردهای سطح مشترک نسبتاً آسان است اگر شرایط LRV و URV به عنوان یک جفت “تجربه فرضی” بررسی شوند.
درست همانطور که با اندازهگیری سطح رابط هیدرواستاتیک انجام دادیم. ابتدا تصور میکنیم که وضعیت جابجاکننده با سطح رابط در مقدار محدوده پایینتر چگونه خواهد بود، سپس سناریوی متفاوتی را با سطح رابط در مقدار محدوده بالاتر تصور میکنیم. برای وضوح بیشتر، ترسیم تصاویر هر سناریو توصیه میشود.
فرض کنید یک ابزار جابجاکننده داریم که سطح رابط بین دو مایع با وزن مخصوص 0.850 و 1.10 را اندازهگیری میکند، با طول جابجاکننده 30 اینچ و قطر جابجاکننده 2.75 اینچ (شعاع = 1.375 اینچ). بیایید بیشتر فرض کنیم که LRV در این حالت جایی است که سطح رابط در پایین جابجاکننده و URV جایی است که سطح رابط در بالای جابجاکننده قرار دارد. قرار دادن سطوح رابط LRV و URV در انتهای طول جابجاکننده، محاسبات LRV و URV ما را ساده میکند، زیرا “آزمایش فکری” LRV به سادگی این خواهد بود که جابجاکننده کاملاً در مایع سبک غوطهور شده و URV «آزمایش فکری» به سادگی میتواند به این صورت باشد که شناور کاملاً در مایع غلیظی فرو رفته باشد.
محاسبه نیروی شناوری LRV:
محاسبه نیروی شناوری URV:
نمایش محاسبات واقعی برای این مثال فرضی:
شناوری برای هر درصد اندازهگیری بین LRV (0%) و URV (100%) را میتوان با درونیابی محاسبه کرد:
شما می توانید برای انواع برنامه کاربردی خود جهت تجهیز به جدید ترین لول ترانسمیتر دیسپلیسری با ما در ارتباط باشید
021-28428636




















فلومتر التراسونیک
فلومتر مغناطیسی
فلومتر مکانیکی
فلومتر جرمی حرارتی
فلومتر جرمی کوریولیس
فلومتر توربین
فلومتر ورتکس
روتامتر
دبی سنج پدالی
